| 일 | 월 | 화 | 수 | 목 | 금 | 토 |
|---|---|---|---|---|---|---|
| 1 | 2 | 3 | 4 | 5 | 6 | |
| 7 | 8 | 9 | 10 | 11 | 12 | 13 |
| 14 | 15 | 16 | 17 | 18 | 19 | 20 |
| 21 | 22 | 23 | 24 | 25 | 26 | 27 |
| 28 | 29 | 30 | 31 |
- Gilbert Strang
- arm칩에안드로이드
- CS231ntwolayerneuralnet
- ios원스토어
- CS231nAssignments
- 아이폰원스토어
- CS231nSVM
- 선형대수학
- gpumemory
- Algorithm
- pycharmerror
- MIT
- adversarialattackonmonoculardepthestimation
- MacOS
- 맥북원스토어
- professor strang
- 맥실리콘
- BAEKJOON
- Linear algebra
- CS231nAssignment1
- CNN구조정리
- monoculardepthestimation
- CNNarchitecture
- 백준
- 선대
- RegionProposalNetworks
- ㅐㅕ세ㅕㅅ
- CS231n
- BOJ
- 백준알고리즘
- Today
- Total
개발로 하는 개발
[CS231n] Assignment 1 - SVM 본문
KNN
- space inefficient : have to remember all the data in the training set
- classifying is expensive : must calculate all the distances to all of the training set
-> Use SVM
SVM
Linear Classification - Score function, Loss
function 사용
: minimize the loss function with respect to the parameters of the score function.
CIFAR-10 we have a training set of N = 50,000 images, each with D = 32 x 32 x 3 = 3072 pixels, and K = 10, since there are 10 distinct classes.

linear_svm.py
1. def svm_loss_naive(W, X, y, reg):

- implementation of gradient calculation
def svm_loss_naive(W, X, y, reg):
dW = np.zeros(W.shape) # initialize the gradient as zero, size : (3073, 10)
# compute the loss and the gradient
num_classes = W.shape[1] # 10
num_train = X.shape[0] # 500
loss = 0.0
for i in range(num_train):
scores = X[i].dot(W) # (10, ) = array of (sum of w * x)
correct_class_score = scores[y[i]]
for j in range(num_classes):
if j == y[i]: # if the class is equal to the answer
continue
margin = scores[j] - correct_class_score + 1 # note delta = 1
if margin > 0:
loss += margin
# gradient of the loss function with respect to W = d(margin) / dW
# d (scores[j]) / dW = X[i] for all j != y[i]
dW[:,j] += X[i]
# - d (correct_class_score') / dW = - X[i]
dW[:,y[i]] -= X[i]
# Right now the loss is a sum over all training examples, but we want it
# to be an average instead so we divide by num_train.
loss /= num_train
dW /= num_train
return loss, dW
# Add regularization to the loss.
loss += reg * np.sum(W * W)
dW += 2* reg * W # (reg * W * W)' = 2 * reg * W

2. def svm_loss_vectorized(W, X, y, reg):
implement loss calculation
scores = X.dot(W) # (500, 10)
correct_scores = scores[np.arange(X.shape[0]), y] # (500, ), get the correct score x from x,y in scores
# note that for correct class, margin == 1
margins = np.maximum(0, scores - correct_scores[:, np.newaxis] + 1) # (500, 10)
# zero out the correct class -> insure hinge loss margins = 0
margins[np.arange(X.shape[0]), y] = 0
# normalize
loss = np.sum(margins) / X.shape[0] # (1, )
# add regularization
loss += reg * np.sum(W * W)

implement gradient calculation
# create a binary mask where each element is 1 when margins > 0
mask = (margins > 0).astype(int) # shape same with margin (500, 10)
# for correct class : mask[np.arrange(X.shape[0]), y]
# subtract X for all the margins > 0, so save the # of margins that are positive
mask[np.arange(X.shape[0]), y] -= np.sum(mask, axis=1)
# dot product of mask and X
dW = np.transpose(X).dot(mask)
# normalize
dW /= X.shape[0]
# add regularization
dW += 2* reg * W # (reg * W * W)' = 2 * reg * W

linear_classifier
1. def train( self, X, y, learning_rate=1e-3, reg=1e-5, num_iters=100, batch_size=200, verbose=False)
SGD implementation.
For each iteration, get #batch_size random indices and set X_batch and y_batch. Evaluate loss and gradient. Update the weights using the gradient and the learning rate.
# get random indices to sample elements
random_indices = np.random.choice(X.shape[0], size=batch_size, replace=False)
X_batch = X[random_indices] # (200, 3073)
y_batch = y[random_indices] # (200, )
# perform parameter update
self.W += - learning_rate * grad


2. predict(self, X)
implement predict function based with trained weight
y_pred = np.argmax(X.dot(self.W), axis = 1) # (N, )

Hyperparameter tuning
# Provided as a reference. You may or may not want to change these hyperparameters
learning_rates = [1e-7, 5e-5]
regularization_strengths = [2.5e4, 5e4]
# *****START OF YOUR CODE (DO NOT DELETE/MODIFY THIS LINE)*****
for lr in learning_rates:
for reg in regularization_strengths:
svm = LinearSVM()
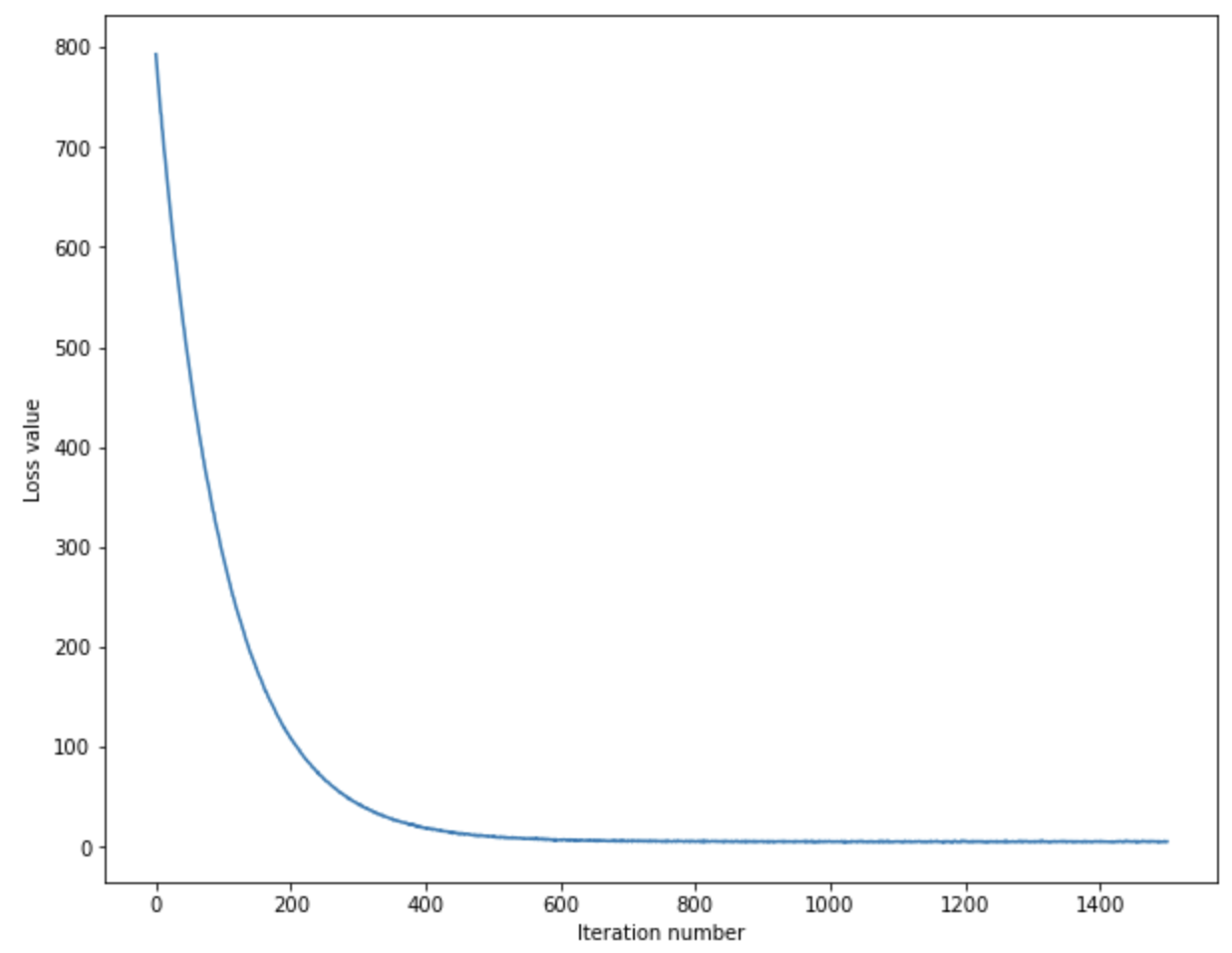
svm.train(X_train, y_train, lr, reg, num_iters=1500, verbose=True)
y_train_pred = svm.predict(X_train)
y_val_pred = svm.predict(X_val)
results[(lr, reg)] = np.mean(y_train == y_train_pred), np.mean(y_val == y_val_pred)
if np.mean(y_val == y_val_pred) > best_val:
best_val = np.mean(y_val == y_val_pred)
best_svm = svm
# *****END OF YOUR CODE (DO NOT DELETE/MODIFY THIS LINE)*****
# Print out results.
for lr, reg in sorted(results):
train_accuracy, val_accuracy = results[(lr, reg)]
print('lr %e reg %e train accuracy: %f val accuracy: %f' % (
lr, reg, train_accuracy, val_accuracy))
print('best validation accuracy achieved during cross-validation: %f' % best_val)

Results
Visualize results

Test accuracy

Visualize the learned weights for each class.

'Study' 카테고리의 다른 글
| [LG Aimers] Module 2. Mathematics for ML -1 (0) | 2024.01.13 |
|---|---|
| [LG Aimers] Module 1. 데이터의 분석과 AI 윤리 (0) | 2024.01.10 |
| [CS231n] Assignment 1 - KNN (0) | 2023.05.03 |
| [CS231n] Assignment python 정리 (0) | 2023.04.05 |
| [대회] SUAPC 2022 Winter 참여기 (0) | 2022.06.06 |